石家庄市空气质量改善前后PM2.5污染导致的疾病负担评估

Disease burden due to PM2.5 pollution before and after air quality improvement in Shijiazhuang

  • 摘要:
    背景 空气污染已逐渐成为世界各国面临的重大环境和公共卫生问题。雾霾天气不仅对人群健康产生影响,也对社会公共安全构成威胁。我国陆续颁布“大气十条”、《打赢蓝天保卫战三年行动计划》等政策,旨在改善环境空气质量。通过2017年环境监测数据可知,京津冀地区完成既定目标,空气质量得到改善。
    目的 为评估空气质量改善效果,以石家庄市为例,评估石家庄市2014—2021年间空气质量改善前后细颗粒物(PM2.5)污染导致的疾病负担情况,包括归因于PM2.5污染导致的死亡人数和健康经济损失评估。
    方法 收集2014—2021年石家庄市死因数据、市区PM2.5浓度资料、市区年末常住人口数、市区国内生产总值(GDP)、市区人均可支配收入等数据。基于全球暴露死亡模型(GEMM)评估归因于PM2.5污染导致的总死亡、非意外死亡、循环系统疾病以及呼吸系统疾病的死亡人数,采用统计生命价值法(VOSL)评估其造成的不同类型疾病的健康经济损失。
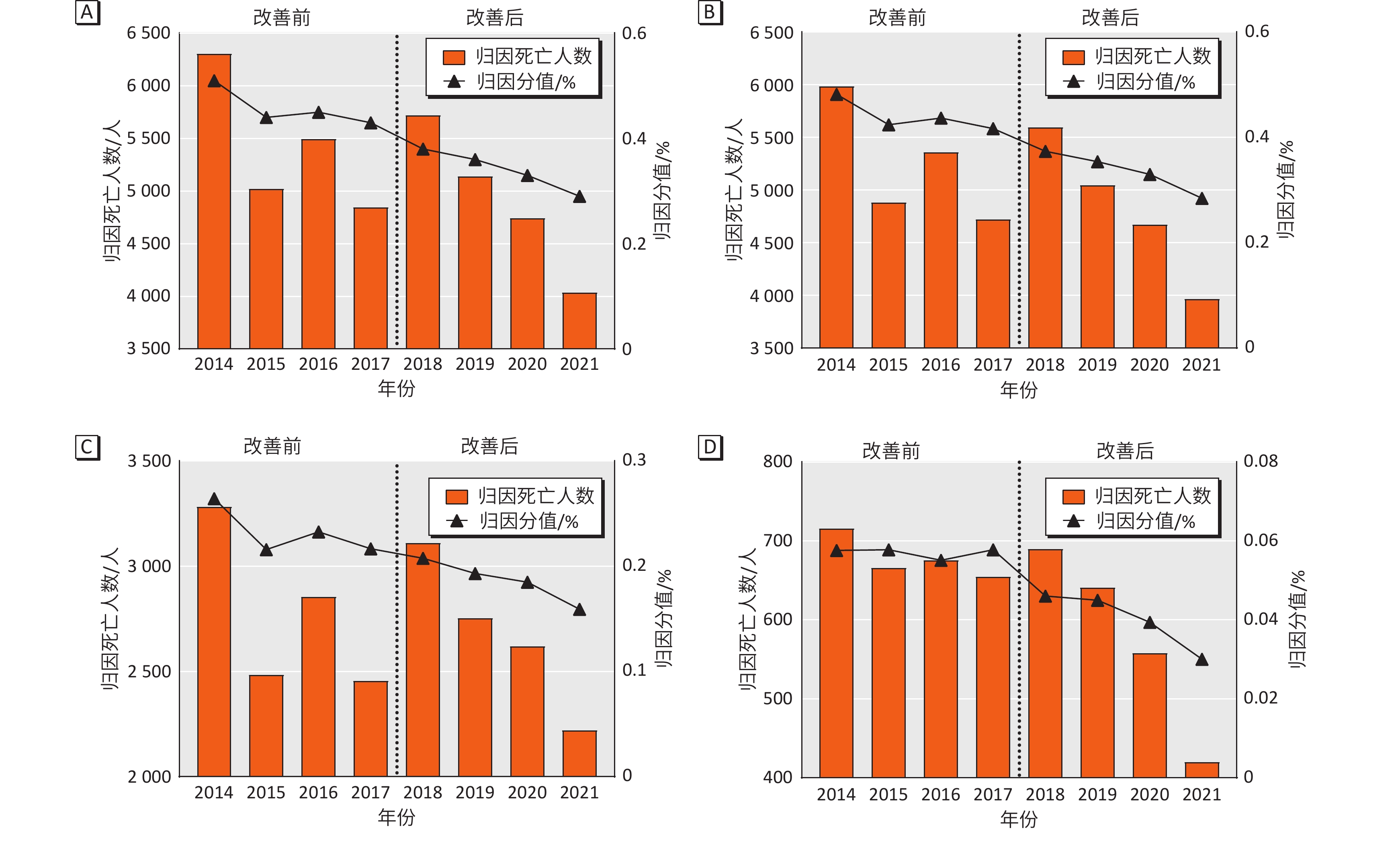
    结果 研究期间,石家庄市PM2.5年均浓度在2014年时最高,于2017年开始呈逐年下降趋势,空气质量开始有所改善,但均超过我国现行环境空气质量标准二级浓度限值(35 μg·m−3)。2014—2021年,归因于PM2.5污染导致的总死亡、非意外死亡、循环系统疾病以及呼吸系统疾病死亡人数分别共计41326、40246、21792、5022人;PM2.5污染导致的总死亡、非意外死亡、循环系统疾病以及呼吸系统疾病相应的健康经济损失分别共计373.62、363.69、196.95、45.35亿元;从空气质量改善的角度来看,归因死亡人数与健康经济损失均自2017年开始呈波动式降低,2019年有明显降低。若PM2.5年均浓度达到我国环境空气质量标准二级浓度限值(35 μg·m−3),PM2.5污染导致的总死亡、非意外死亡、循环系统疾病死亡以及呼吸系统疾病死亡人数相较未达标时分别减少约1.7、1.6、0.9、0.2万人,相应的健康经济损失将分别减少152.01、147.61、79.59、18.59亿元;若PM2.5年均浓度达到世界卫生组织最新提出的PM2.5空气质量指导值(5 μg·m−3),PM2.5污染导致的总死亡、非意外死亡、循环系统疾病死亡以及呼吸系统疾病死亡人数相较未达标时分别减少约3.6、3.5、1.9、0.4万人,相应的健康经济损失将分别减少326.73、317.96、172.11、39.69亿元。
    结论 PM2.5污染可导致严重的死亡负担和经济损失,在国务院“大气十条”及《打赢蓝天保卫战三年行动计划》的实施下,石家庄市PM2.5浓度显著降低,相应减少了健康损失和经济损失,且进一步控制PM2.5污染能取得更大的健康效益和经济收益,肯定了地方开展空气污染防治工作的积极成效。

     

    Abstract:
    Background Air pollution has gradually become a major environmental and public health problem faced by countries around the world. Hazy weather not only affects the health of the population, but also poses a threat to social and public safety. China has successively promulgated policies such as the "Ten Articles on Atmosphere" and the Three-year action plan to fight air pollution, aiming to improve ambient air quality. It is clear that the Beijing-Tianjin-Hebei region has accomplished the set targets and improved air quality according to the environmental monitoring data of 2017.
    Objective To assess air quality improvements through the evaluation of the disease burden due to fine particulate matter (PM2.5) pollution in Shijiazhuang City before and after the air quality improvement from 2014 to 2021, including fatalities and health economic losses attributed to PM2.5 pollution.
    Methods Data on causes of death, PM2.5 concentrations, the number of permanent residents at the end of the year, gross regional product, and disposable income per capita in urban areas of Shijiazhuang were collected from 2014 to 2021. Total, non-accidental, circulatory, and respiratory deaths due to PM2.5 pollution were estimated by global exposure mortality models (GEMM). Health and economic losses due to selected diseases were calculated by value of statistical life (VOSL).
    Results During the study period, the average annual concentration of PM2.5 in Shijiazhuang was highest in 2014, and began to decline year by year in 2017, but all exceeded the current national limit of the second level of ambient air quality standards (35 μg·m−3). The total deaths, non-accidental deaths, circulatory disease deaths, and respiratory disease deaths attributed to PM2.5 pollution from 2014 to 2021 were 41326, 40246, 21792, and 5022, respectively; the associated health economic losses were 37.362, 36.369, 19.695, and 4.535 billion yuan, respectively. From the perspective of improved air quality, both the number of attributed deaths and health economic losses had declined in a volatile manner since 2017, with a significant decrease in 2019. If the average annual concentration of PM2.5 reached the second-level limit of China's ambient air quality standard (35 μg·m−3), the total deaths, non-accidental deaths, and deaths from circulatory diseases and respiratory diseases due to PM2.5 pollution would deducted by about 17000, 16000, 9000, and 2000, respectively; the corresponding health and economic losses would decreased by 15.201, 14.761, 7.959, and 1.859 billion yuan, respectively. If the average annual concentration of PM2.5 reached the latest PM2.5 air quality guidelines (5 μg·m−3) proposed by the World Health Organization, the total deaths, non-accidental deaths, circulatory disease deaths, and respiratory disease deaths due to PM2.5 pollution would deducted by 36000, 35000, 19000, and 4000, respectively, and the corresponding health and economic losses would reduced by 32.673, 31.796, 17.211, and 3.969 billion yuan, respectively.
    Conclusion PM2.5 pollution can lead to severe mortality burden and economic loss. Under the implementation of the State Council's "Ten Articles on Atmosphere" and the Three-year action plan to fight air pollution, Shijiazhuang's PM2.5 concentration and health economic losses have been significantly reduced, and further control of PM2.5 pollution can achieve greater health benefits and economic gains, affirming the positive results of local air pollution prevention work.

     

/

返回文章
返回